taptap点点体育
设为首页
|
加入收藏
首页
学院简介
学院动态
通知公告
党建工作
专业师资
师资队伍
专业建设
科研科普
学生工作
对外合作
学院动态
学院动态
首页
>
学院动态
> 正文
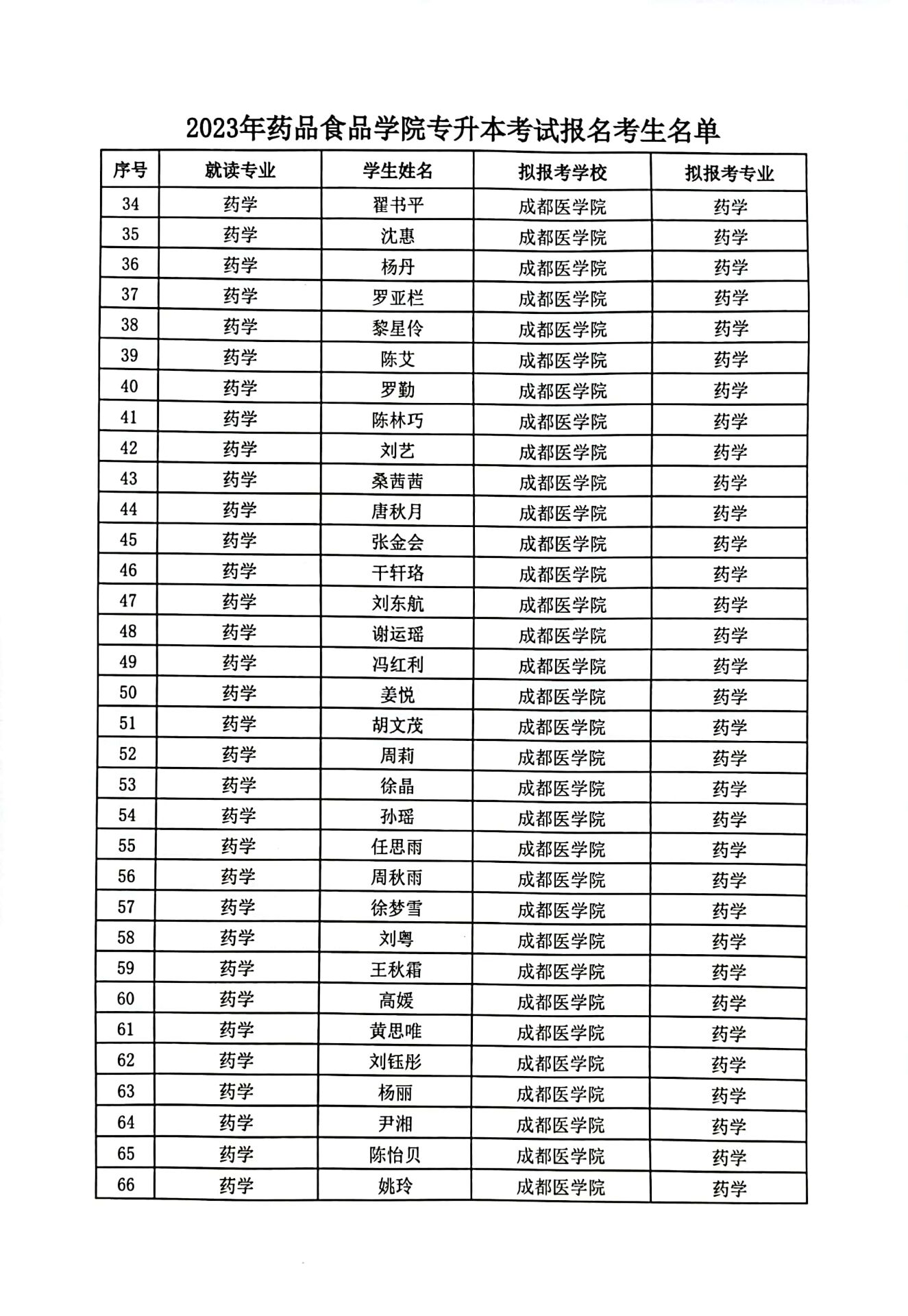
2023年药品食品学院专升本考试报名考生名单公示
时间:2023-03-16
上一条:喜报:药品食品学院学生荣获“第七届全国医药行业特有职业技能竞赛”三项奖项
下一条:药品食品学院党支部开展“学吴老精神 激干事创业热情” 主题党日活动