通知公告

当前位置: 首页 -> 通知公告 -> 正文

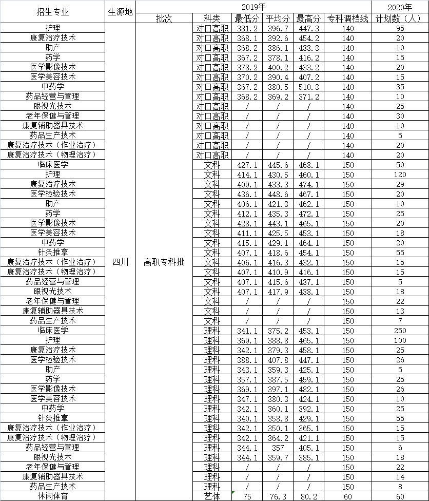
招生计划| taptap点点体育2020年招生计划发布

信息来源: 发布日期:2020-07-26


01

在川招生代码:5194


02

高职(专科)专业:16个


03

专业方向:2个


04

招生省份:5个


05

咨询电话:(0813)8283555、8283666、8283663


06

招生QQ群:118606969


taptap点点体育2020年招生计划

四川

(在川招生代码:5194)



重庆

(招生代码:9609)



广东

(招生代码以当地招生考试报公布为准)



云南

(招生代码:5198)



贵州

(招生代码:2045)








地址:四川省自贡市沿滩区德铭路3号

咨询电话:(0813)8283555、8283666、8283663

纪检监察电话:08138283589

  • 关注川康招生公众号

  • 关注川康就业公众号